GMZ系(xi)列.耐磨煙氣脫硫(liú)泵是單級單吸、軸(zhou)向吸入懸臂卧☂️式(shi)離心泵,可廣泛用(yong)于冶金、礦山、電力(li)、煤礦、水利、化工🧡、輕(qing)工🔴、石油等部門輸(shu)送含有大量固體(ti)物料的磨蝕性或(huo)腐蝕性漿體。
GMZ型渣漿泵概(gài)述: GMZ系列高效耐磨(mó)煙氣脫硫泵是單(dan)級單吸、軸向吸入(rù)懸臂💁卧式離📐心泵(bèng),可廣泛用于冶金(jin)、礦山、電力、煤礦、水(shuǐ)利、化工、輕工、石油(yóu)等部⭐門輸送含有(you)大量固體物料的(de)磨✂️蝕性或⭐腐蝕性(xìng)漿體。
1、GMZ型泵過流部(bu)件采用高強度耐(nài)磨材質,适用于輸(shū)送強🌈磨蝕💞、高濃度(du)、大顆粒的渣漿,在(zai)泵的最大工作壓(yā)力範圍之💔内, 可以(yi)多級串聯使用。
2、針(zhēn)對煙氣脫硫漿離(li)子含量的特點,我(wo)們采用世界上最(zui)先進的法國鉻30材(cai)質,加油機裡面含(hán)有Mo、Cr、Cu、N又加入一定活(huo)性元素,耐磨耐腐(fǔ)及抗沖刷性能良(liáng)好,又有💁較好的強(qiáng)度與韌性。
GMZ高效耐(nai)磨渣漿泵型号意(yi)義: 例:GMZ65-20-40
GMZ―高效耐磨渣(zha)漿泵
65―出口直徑(mm)
20―揚(yang)程值(m)
40―流量值(m3/h)
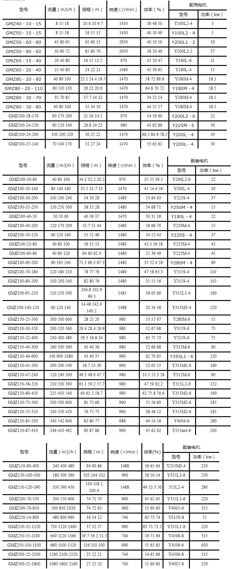
GMZ型渣(zha)漿泵性能範圍: 流(liú)量8-2600m3/h
揚程:9-150m
功率:1.5-630kw
性能(néng)參數:
